我院护理学博士、在站博士后王艳艳在JAMA Internal Medicine发表老年术后谵妄的个性化预防策略研究
我院护理学博士、在站博士后王艳艳作为第一作者,老年医学中心岳冀蓉教授为通讯作者,在国际著名医学期刊JAMA Internal Medicine(IF=20.768)以原创性论著形式发表。该研究试验结果提出了更加符合我国国情的老年术后谵妄的个性化预防策略。

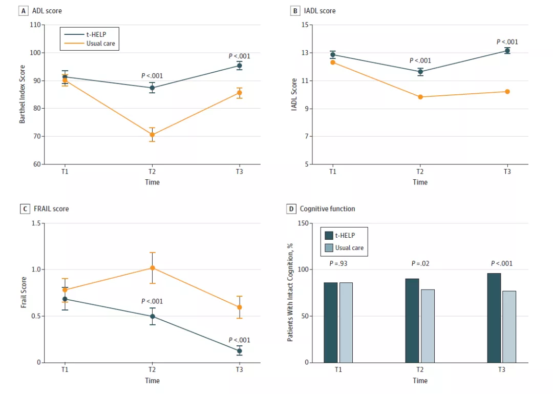
该项研究随机对照临床试验由我院老年医学中心谵妄MDT团队牵头完成,借鉴了哈佛大学老年医学中心Sharon K. Inouye教授住院老年生活项目(Hospital Elder Life Program, HELP),并基于中国老年照护文化特色和中国医院系统现有资源,创新性地研发了“家庭参与个性化住院老年生活项目(t-HELP)”)。t-HELP针对每一位住院老人的危险因素量身定制制定了个性化的“干预菜单”;针对志愿者缺乏的问题,则使用陪护的家属或护工代替,协助部分干预方案的实施(图1)。该临床随机对照试验在6个非心脏外科单元开展,前期研究成果在2017年IAGG年会做大会发言,获得同行一致好评。最终结果显示干预组术后谵妄发生率显著低于对照组(2.6% vs 19.4%);躯体功能、衰弱评分及认知功能从入院到出院后30天纵向变化干预组优于对照组(图2),住院时间也较对照组短(12.15 vs 16.41 天)。

图1 t-HELP 研究技术方案

图2 基线到出院后30天两组患者躯体功能及认知功能的纵向变化
A.对照组平均ADL (Barthel指数)在出院时及出院后30天均低于t-HELP组;
B.对照组平均IADL在出院时及出院后30天均低于t-HELP组;
C.对照组平均Frail Score在出院时及出院后30天均高于t-HELP组;
D.t-HELP组认知功能(SPMSQ)完好的比例在出院时及出院后30天均高于对照组。
该研究创新性地融入了家属或护工协助实施个性化干预方案,为全球具有相似文化背景的医疗机构在老年个体化干预方案及谵妄的预防策略上提供了循证依据。JAMA Internal Medicine同期发表专家评论“Including the Family in Perioperative Care of Older Adults—A Call for HELP”,指出美国医院文化可能需要从其他文化学习,将家属和护工纳入患者的管理方案。在手术期间接受家属照顾的老年患者会在陌生医院环境中感受强大的安全感。对家属或护工的信任可能会更有效地帮助患者实现早期活动,也能减少焦虑并增强睡眠。此外,家属可以利用他们以前对患者的了解,使患者积极地参与康复过程。
【关闭】
